当前位置 >> 首页 >> 学习园地 >>  业内热点

业内热点

物理所等反常霍尔效应研究取得进展

稿件来源:物理研究所 责任编辑:ICAC 发布时间:2019-09-18

  反常霍尔效应是最基本的电子输运性质之一。虽然反常霍尔效应早在1881年就被Edwin Hall发现,但其微观机制的建立却经历了一百余年的漫长历程。本世纪初,牛谦等人的理论工作揭示了反常霍尔效应的内禀机制与材料能带结构的贝里曲率有关,并得到了广泛的实验支持,反常霍尔效应也因此成为当今凝聚态物理研究的一个重要手段。在近年来受到广泛关注的固态拓扑体系研究中,反常霍尔效应也是被研究的焦点之一。

  然而,迄今为止所有的实验结果都基本使用单粒子图像下的输运理论进行解释。在理论上,仅有个别小组研究过电子和电子之间的多体相互作用是否会影响反常霍尔电导。二十多年前,Wolfle等人通过理论计算指出,对于斜散射和边跳这两个非内禀机制,电子-电子相互作用不会对反常霍尔电导产生任何量子修正,这与电子-电子相互作用能在低温下显著地改变纵向电导率和电阻率截然不同。至于内禀机制下电子-电子相互作用能否改变反常霍尔电导,理论上还没有定论。

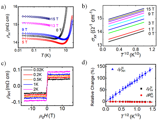
  最近,中国科学院物理研究所/北京凝聚态物理国家研究中心纳米物理与器件重点实验室李永庆课题组(N08组)博士生杨帅和林朝镜(现为日本东京工业大学博士后),与极端条件重点实验室EX10组研究员石友国和博士生伊长江,以及北京大学物理学院博士后李治林等合作,在铁磁半导体HgCr2Se4中发现反常霍尔电阻和反常霍尔电导在超过两个数量级的温度范围内(0.02 - 2 K)对温度的平方根(\(\sqrt{T}\))具有明显的线性依赖关系,而且不能用现有的理论解释。研究团队还观察到HgCr2Se4样品的纵向电阻率和正常霍尔电阻率也呈现出\(\sqrt{T}\)的温度依赖关系,但此二者可用Altshuler等人发展的电子-电子作用理论进行定量的描述。这些特征以及在高达15 T磁场中的进一步电子输运测量表明,极低温下在HgCr2Se4中观察到的巨大反常霍尔电导修正不太可能来源于弱局域化效应,电子-电子相互作用的贡献值得在理论上进行深入考虑。

  上述实验结果的获得受益于接近零温条件下HgCr2Se4在载流子浓度低至1015-1018cm-3时仍能保持金属导电性,反常霍尔效应研究因此能被拓展到一个传统铁磁金属或半导体无法达到的参数空间。该工作的合作者还有澳大利亚新南威尔士大学教授Dimitrie Culcer。

  相关实验工作近期发表于《物理评论快报》(S. Yang, Z. L. Li et al., Physical Review Letters 123, 096601 (2019))。该工作得到科技部国家重点研发计划、科技部国家基础研究计划、国家自然科学基金、中科院先导B类专项和国家博士后科研基金创新人才培养计划的支持。

  文章链接 

   

  图1. Hg的晶体结构图(a)及实验中使用的单晶照片(b, c)

   

  图2. HgCg2Se4中反常霍尔效应的反常温度依赖关系。(a) 低温下纵向电阻率ρxx的温度依赖关系;(b)纵向电导率σxx\(\sqrt{T}\)具有线性依赖关系,其斜率不随磁场变化;(c) 不同温度下的反常霍尔电阻率ρAH;(d) 纵向电阻率、正常霍尔电阻率和反常霍尔电阻率都呈现\(\sqrt{T}\)型的温度依赖关系,但反常霍尔电阻率的相对零温数值的变化率超过前二者约两个数量级。反常霍尔电导率的相对变化率具有相近的数值。 

附件:
相关新闻:
物理所等揭示铁基超导体超导涡旋中马约拉纳零能模的拓扑本质
物理所等开发电化学活性多功能隔膜涂层提升锂硫电池性能