当前位置 >> 首页 >> 学习园地 >>  业内热点

业内热点

上海光机所在冷原子测磁领域获进展

稿件来源:上海光学精密机械研究所 责任编辑:ICAC 发布时间:2020-05-27

     近期,中国科学院上海光学精密机械研究所量子光学重点实验室在冷原子喷泉的相互作用区磁场评估中取得新进展,相关成果作为编辑精选(Editor’s pick)文章发表于《美国光学学会杂志B》(J. Opt. Soc. Am. B 37, 1775-1780)。

  磁场强度是最基本的物理参数,大部分精密测量领域都要用到测磁的相关技术。对应冷原子喷泉钟而言,磁场通过二阶赛曼效应引入了最大的偏移项。磁场测量是其性能评估中最基本的必要测量参数之一。更精准的磁场测量和评估(包括方向、分布等参数)方法一直是科研人员努力的方向。

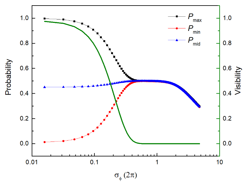
  该项研究中,科研人员提出了一种通过测量磁敏微波跃迁干涉条纹可见度的方法,实现喷泉钟微波作用区的径向磁场分布评估。首先,通过建立磁场分布模型,从而得到不同原子经历不同的磁场而产生不同的附加相位。附加相位会造成干涉条纹的非均匀加宽,并因而影响条纹的可见度(见图1)。根据附加相位随冷原子自由演化时间的增加而增加的关系,科研人员设计并完成了验证实验(见图2),实现了100pT磁场不均匀分布的测量,实验结果与理论预期吻合较好。

  相关课题组在基于原子喷泉的磁场测量领域取得了一系列有特色的研究成果,包括一阶赛曼效应测磁根据不同磁敏效应的多量程测磁直接的磁场矢量测量磁场非均匀补偿,以及利用磁敏能级跃迁分辨和测量标量、矢量、张量光频移(合作)等。本项研究成果是测磁研究的又一项阶段性成果,实现了对小范围区域的磁场不均匀分布的测量。 

  该项研究得到中科院先导B项目支持。

  论文链接 

   

  图1 可见度随附加相位分布的变化,绿色曲线为可视度的变化,黑色、红色、蓝色曲线分别对应干涉条纹的极大值、极小值、平均值。

   

  图2 测量实验原理图,左图为喷泉结构图,右图为改变分离振荡场时序的示意图。

   

  图3 实验结果,上下两张图分别对应图2中的(c)和(d)的情况。

附件:
相关新闻:
上海光机所等在智能计算成像研究方面取得进展
上海光机所空间光调制器定标研究取得进展