当前位置 >> 首页 >> 学习园地 >>  业内热点

业内热点

合肥研究院在新型热电材料物理机制研究中获进展

稿件来源:合肥物质科学研究院 责任编辑:ICAC 发布时间:2020-10-19

  近日,中国科学院合肥物质科学研究院固体物理研究所研究员张永胜课题组在理论计算和解释新型热电材料(Pyrite型ZnSe2)的物理机制研究中取得新进展。该研究通过求解声子和电子玻尔兹曼输运方程,理论计算发现Pyrite型ZnSe2具有良好的热电性质;基于对材料中原子成键情况和声子振动性质的分析,解释其具有低晶格热导率的物理机制。相关研究结果以Localized dimers drive strong anharmonicity and low lattice thermal conductivity in ZnSe2为题,发表在Physical Review B上。

  理解高性能热电材料中的物理机制是寻找、设计和优化材料热电性质的基础。张永胜课题组已通过高通量方法发现Pyrite型ZnSe2是潜在高性能热电材料,并发现其是由广泛存在的廉价元素组成的立方晶体。然而,其中的物理机理并未得到详细的分析研究。利用更精确的理论计算方法验证该材料的良好热电性能并解释其中的物理机制,可以帮助拓展热电材料的种类并丰富现有的热电理论。

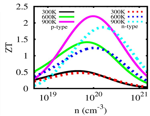
  研究中,张永胜研究员课题组通过求解声子和电子玻尔兹曼输运方程的方法详细计算Pyrite型ZnSe2的热学和电学输运性质,并得到其在不同温度和载流子浓度下的热电性能。研究分析了Pyrite型ZnSe2中的原子成键情况和声子振动性质,发现材料中存在着强共价键结合的局域Se-Se二聚体,且该二聚体的存在可以使得ZnSe2中Zn原子具有类rattling原子的性质,从而导致由Zn原子绕Se-Se二聚体旋转所形成的低频光学声子具有非常强的非简谐效应,这种强的非简谐效应使该材料具有极低的晶格热导率。在电子结构方面,研究发现ZnSe2的价带顶和导带底都具有复杂的费米面,这使其具有良好的电学性能。ZnSe2具有的极低晶格热导率和良好电学输运性质,使其在p型和n型掺杂下,使决定热电材料性能的重要参数——热电优值最大可以分别达到2.21和1.87。该研究表明可以通过寻找含有类似二聚体或三聚体局域结构的材料作为潜在的新型高性能热电材料,为未来的实验和理论研究提供指导和参考。

  研究工作得到国家自然科学基金的资助。

  论文链接 

   

  图1.Pyrite型ZnSe2的晶体结构和Se-Se二聚体上的局域电荷分布情况

   

  图2.ZnSe2在不同温度和载流子浓度下ZT值 

   

  图3.Zn原子绕Se-Se二聚体的旋转对低频光学声子的贡献情况 

附件:
相关新闻:
合肥研究院在手性磁孤子研究中取得进展
合肥研究院等在二元金属硫化物中发现电子熵增强的室温巨压卡效应
合肥研究院在有机半导体磁诱导生长和性能研究中获进展