当前位置 >> 首页 >> 综合新闻 >>  新闻博览

新闻博览

超低暗电流高性能近红外硅基光电探测器研究获进展

稿件来源:物理研究所 责任编辑:ICAC 发布时间:2020-10-22

  以光为信息载体实现通信的光通信技术,凭借优异的速度传输性能和强大的信息容量成为现代社会最重要的技术之一。其中硅光子学,与成熟的互补金属氧化物半导体(CMOS)制造工艺兼容,并且伴随着各类有源、无源的硅基光子器件的实现逐渐成为短程光通信中最具前景的技术。执行光电信号转换的光电探测器是光电链路的基本组成部分之一,虽然硅基光电探测器广泛应用于可见光谱范围(0.4-0.7μm),但通讯窗口1.31μm和1.55μm的近红外光子能量并不足以克服Si带隙(1.12 eV)诱导光生电流,因此如何实现硅基探测器1.1μm以上的近红外探测仍然是发展单片光电集成技术所面临的难题。近年来,硅基肖特基二极管基于独特的内光电发射机制备受关注,它能在室温下探测到能量低于硅带隙的光,且材料结构和制造工艺简单廉价,有可能满足纯硅近红外光电探测器的需要。然而传统的金属-硅结构探测器存在响应低的缺陷,用透明导电玻璃(ITO)代替传统金属可以有效改善器件响应度,但也面临暗电流过大的问题,严重影响探测器的灵敏度。如何保证探测器对所需波长有响应并且有足够的响应,同时进一步降低器件暗电流提升其灵敏度,是实现高性能近红外硅基探测器的关键。

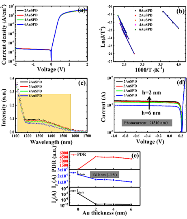
  近日,中国科学院物理研究所/北京凝聚态物理国家研究中心清洁能源实验室研究人员通过在硅衬底上制备纳米级的Au薄膜和ITO电极(图1),在硅基肖特基光电探测器研究方面取得进展。实验结果表明,高功函数Au的加入有效提高了肖特基势垒高度从而极大地抑制了器件暗电流,-1V下的暗电流密度为3.7×10-7A/cm2,比无Au插入的ITO/n-Si器件暗电流密度降低了7000多倍,±1V下的整流比高达1.5×108,这是硅基肖特基红外探测器目前所报道的最好结果(图2)。同时基于Au是延展性最好的金属,进一步减小中间插入层Au的厚度,结果显示2nm Au插入层能在保障器件暗电流性能的前提下明显地提升响应度,从而得到更高的光/暗电流比,大幅改善硅基肖特基光电探测器的整体性能(图3)。该工作作为一种具有低暗电流密度的硅基红外光电探测器将为实现光通信中单片集成纯硅光电探测器提供重要借鉴,期待未来在可见光至1.55μm甚至更长波段的光谱探测方面有重要应用。

  该研究结果近日以Hybrid Nano-Scale Au with ITO structure for High-Performance Near-Infrared Silicon-Based Photodetector with ultralow dark current为题发表在Photonics Research上。相关工作得到了国家自然科学基金的支持。

   

  图1. ITO/Au/n-Si 肖特基光电探测器工艺流程示意图

   

  图2. (a)线性坐标(b)半对数坐标下0nm和6nm Au肖特基光电探测器暗态室温J-V特性(c)6nm Au探测器J-V温度依赖特性(d)Ln(J/T2)和1000/T关系图(e)1310 nm(f)1064 nm激光下室温光、暗态J-V特性。

   

  图3. (a) 2-6nm Au肖特基光电探测器暗态室温J-V特性(b) 0-6nm Au肖特基光电探测器Ln(J/T2)和1000/T关系图(c) 零偏压下1100-1700nm器件光响应 (d) 1310nm激光下器件光电流随偏压变化(f)1310nm激光下器件-1V下的暗电流、光电流以及光/暗电流之比。

附件:
相关新闻:
硅基III-V多结太阳能电池效率创下纪录达到25.9%
错配位错提升了硅基量子点激光器的性能
意法半导体推出首款集成在一个封装中的硅基驱动器和GaN晶体管