当前位置 >> 首页 >> 学习园地 >>  业内热点

业内热点

合肥研究院二维SnO2材料的理论预测研究获进展

稿件来源:合肥物质科学研究院 责任编辑:ICAC 发布时间:2020-11-13

  近日,中国科学院合肥物质科学研究院固体物理研究所计算物理与量子材料研究部研究员郑小宏课题组在二维二氧化锡(SnO2)材料研究中取得进展。研究人员基于第一性原理计算方法理论预测SnO2的二维单层δ相(P-4m2可以稳定存在,并发现δ相的二维SnO2材料具有平面内负泊松比特性。此外,通过空穴载流子掺杂,可诱导体系从非磁态向铁磁序转变,并实现完全自旋极化的半金属性。相关研究成果以Computational Prediction of a Two-dimensional Semiconductor SnO2 with Negative Poisson's Ratio and Tunable Magnetism by Doping为题,发表在Physical Review B上。 

  SnO2块体是一种n型宽带隙的半导体材料,常见的结构为金红石结构。由于具有较好的化学稳定性、高透光率、低电阻率以及耐酸碱等特点,SnO2在电极材料、化学传感器元件和太阳能电池等领域具有应用前景。研究表明,在SnO2块体中掺入3d过渡金属杂质,能够实现室温铁磁性体系引入氧空位时,可以薄膜样品中观察到铁磁,而在块体样品中观察不到。尽管SnO2块体材料在实验和理论上已被广泛研究,但是其对应的二维单层相的相关研究仍然较少。进一步探究SnO2二维相是否存在及其掺杂诱导室温铁磁性的可能性,对二维半导体领域以及自旋电子学领域具有重要意义。 

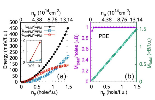
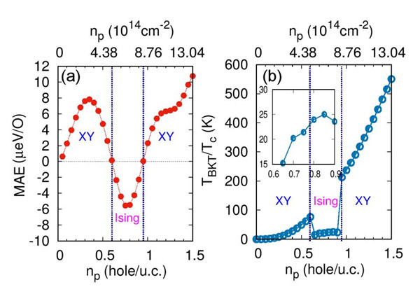
  研究人员基于密度泛函理论计算,发现δ相的二维SnO2δ-SnO2)能稳定存在,且是一种具有平面内负泊松比(ν=-0.11)性质的单层材料,而负泊松比的形成主要由晶格结构对称性与SnO4四面体在低维效应限制下的协同作用造成。同时,该单层SnO2是一种带隙为3.7 eV的间接带隙半导体,电子迁移率可高达103 cm2V-1s-1SnO2在费米能级附近的价带中呈现出双墨西哥帽状的能带特征。研究人员可通过空穴载流子掺杂方式诱导体系发生铁磁相变,它在较宽的掺杂浓度范围内能够表现半金属性。Stoner机制可解释这种磁性相变。此外,通过改变空穴载流子掺杂浓度还可实现二维XY磁体和Ising磁体二者之间的转变,并在适当的掺杂浓度下,其铁磁转变温度可高于室温。研究表明,所预测的SnO2相是p型磁性体系的又一重要例子,同时也说明所预测的SnO2二维相在纳米力学和低维自旋电子学方面具有应用前景。 

  研究工作得到国家自然科学基金和国家留学基金委的资助,相关计算在中科院超算中心合肥分中心完成。 

  论文链接 

   

  图1.(a)二维单层δ-SnO2的晶体结构俯视图和侧视图(b)x方向上的应变施加在体系y方向上的拉伸应变的变化关系 

   

    图2.(a)不同磁构型(非磁、锯齿形反铁磁以及条纹反铁磁)与铁磁构型的磁能量差随空穴载流子掺杂浓度变化的曲线关系;(b)体系的磁矩与空穴载流子掺杂浓度的变化关系 

   

  图3.(a)空穴掺杂的二维δ-SnO2体系的磁各向异性能和(b)铁磁转变温度与空穴载流子掺杂浓度的变化关系 

附件:
相关新闻:
合肥研究院在有机半导体磁诱导生长和性能研究中获进展
合肥物质院等在太赫兹自由电子激光装置应用研究中获进展
合肥研究院在新型热电材料物理机制研究中获进展